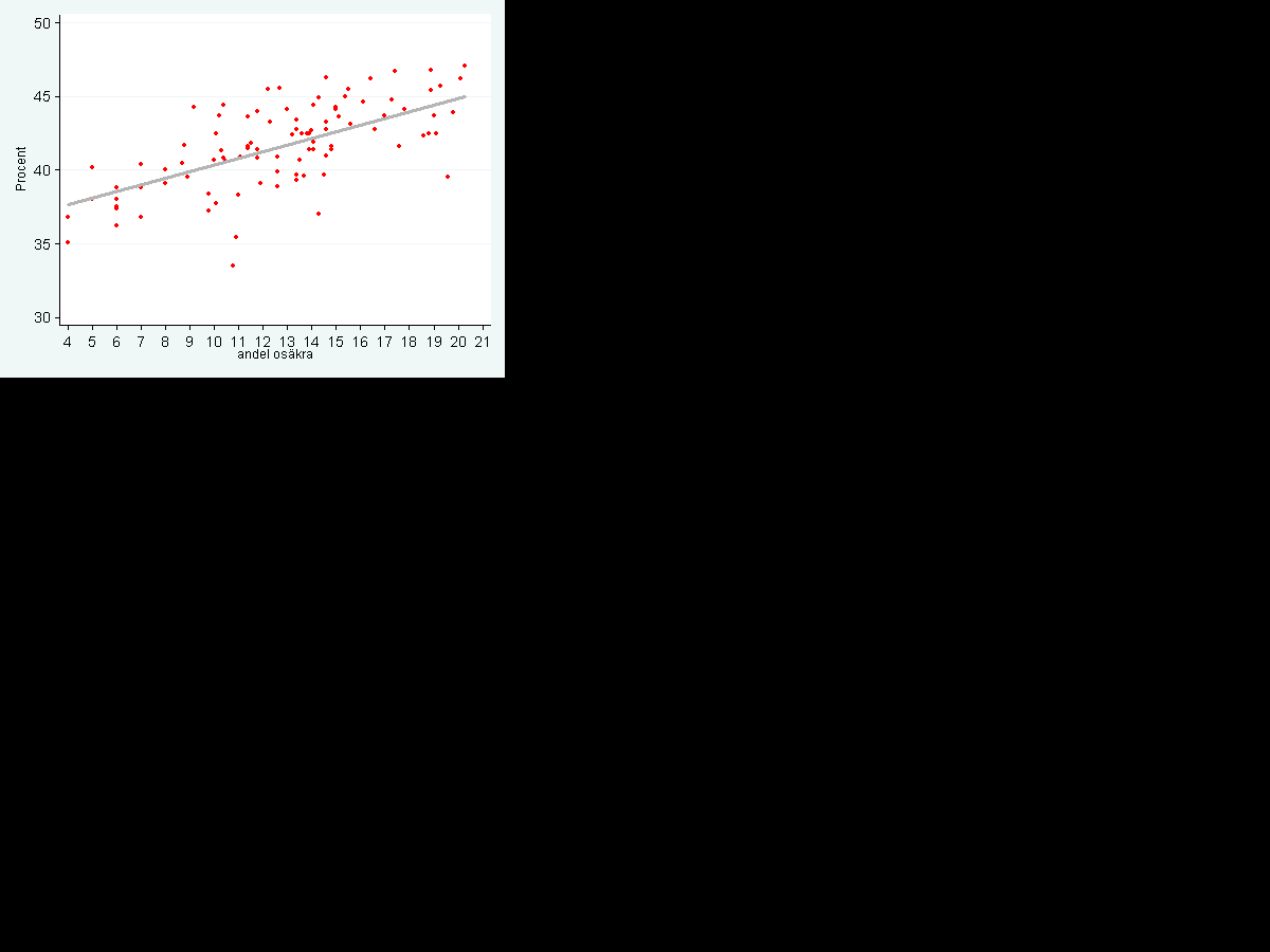
Opinionsmätningarna visar en intressant samvariation mellan stödet för socialdemokraterna (y-axeln) och den rapporterade andelen osäkra/vet ej (x-axeln). Ju högre andel osäkra i undersökningarna, desto starkare är stödet för socialdemokraterna. Omvänt gäller att ju fler respondenter som pressas att uppge hur de skulle rösta om det var riksdagsval idag, desto lägre procentandel får socialdemokraterna. Frågan är hur detta skall tolkas? Är socialdemokraternas opinionssiffror uppblåsta i mätningar som rapporterar en hög andel osäkra?
Andelen osäkra i opinionsmätningarna varierar mellan olika institut. I huvudsak beror det på att man ställer olika följdfrågor för att pressa respondenterna att tala om huruvida de lutar åt något särskilt alternativ. Skop har omkring 5-6 procent osäkra. Synovate och Sifo rapporterar i snitt 15-17 procent osäkra/vet ej/vill ej svara. (Även när hänsyn tas till att instituten på grund av metodskillnader genererar olika hög andel osäkra så kvarstår samvariationen mellan andel osäkra och stödet för s.)


En stor del av de osäkra väljarna kan vara ganska säkra på att de vill rösta borgerligt, men inte på vilket borgerligt parti: det finns ju fyra ganska snarlika att välja på. Om dessa osäkra väljare pressas att avge ett svar ökar sannolikheten för att de uppger ett borgerligt parti. Detta leder till att andelen socialdemokrater minskar. Jag har Skrivet en snutt om detta här: http://hagevi.wordpress.com/2008/09/27/valjaropinion-forebadar-partisammanslagning/
GillaGilla
Tack, Magnus! Din förklaring låter fullt rimlig i mina öron (det är framför allt de borgerliga partierna, och i synnerhet moderaterna, som får större stöd i mätningar med liten andel osäkra).SCB/PSU-mätningarna torde kunna fånga upp dessa allmänborgerliga sympatisörer som inte vill uppge parti. SCB pressar osäkra rejält med följdfrågor om vilket block man lutar åt. I så fall har vi svaret på onsdag när SCB/PSU-mätningen för november publiceras. Äkta befolkningsurval med nio tusen. Spännande att se SCB/PSU-resultaten efter opinionsdramatiken i oktober november. Min gissning är att opinionsläget inte kommer vara jätteannorlunda än i maj.
GillaGilla
Jag tror inte att socialdemokraternas siffror är särskilt uppblåsta (däremot kan stödet för dom överskattas i en enskild mätning). Förklaringen är att det finns betydande skillnader i mobilisering mellan s och m (+ fp,c, kd) väljare. I vår rapportering har jag vid ett flertal tillfällen framhållit att om vi hade haft samma mobiliseringsmönster som gällde under stor del av 90-talet och 00-talet så hade ungefär halva den skillnad som funnits mellan blocken försvunnit. När det gäller Skop så frågar dom inte hur man skulle rösta om det vore val idag utan om bästa parti. Det medför troligen att man inte (åtminstone i samma grad som de som frågar hur man skulle rösta vid val idag)fångar den skillnad som finns i mobilisering mellan partiernas väljare vid olika tidpunkter. Istället för att prata om uppblåsta siffror skulle det vara intressant att höra om du tycker att man ska ta hänsyn till mobiliseringsskillnader eller inte när man mäter röstningsintentioner.
GillaGilla
Hej Nicklas! och tack för bra info. Du frågar mig om vi bör ta hänsyn till mobiliseringsgrad när vi bedömer väljaropinionen. Självklart, menar jag. Om vi nu vill ge ett så bra svar som möjligt på frågan om hur ett riksdagsval skulle ha gått \”om det vore val idag\” måste vi ju ta hänsyn till att det i ett sådant läge skulle varit en mobiliserande valkampanj. Om mellanvalsopinionen är så sömnig som du och jag verkar överens om så är det rimligt att vi försöker arbeta fram modeller som visar hur denna opinion skulle agera om mobiliseringen liknade den som gäller i samband med riksdagsvalen. Vi borde kunna använda våra kunskaper från mätningar under valrörelserna för att göra just detta! Givet att en stor andel borgerliga väljare för närvarande är demobiliserade och ställt sig i \”neutralt läge\”, och att många av dem skulle mobiliseras tillbaka till Allianspartierna i samband med en \”normal\” svensk valrörelse, ja då kan man ju inte dra några andra slutsatser än att socialdemokraternas rapporterade \”röststöd vid riksdagsval idag\” är något för högt. Den sömniga mellanvalsopinionen ger oppositionspartiet s 43 procent. En uppväckt valrörelseopinion hade givit s 37?
GillaGilla
Jag tycker nog inte att det är helt korrekt att kalla demobiliserade för sömninga i allmänhet. Jag ser (i huvudsak) tre förklaringar till att väljarna intar soffläge. En grupp(1) använder soffan som ett (i varierande grad medvetet) sätt att signalera missnöje med den politik som förs/kommuniceras. \”Just nu är \”mitt\” parti inte tillräckligt bra för att få mitt aktiva stöd\”.En annan grupp (2) är de som i samband med olika affärer och skandaler \”skäms\” för att uppge att man stödjer sitt parti och därför säger sig vara osäkra. Denna grupp brukar återkomma när krutröken har lagt sig – men ibland råkar partier ut för den ena affären efter den andra och då kan det ta tid innan man uttrycker sitt aktiva stöd igen.Den tredje gruppen är vad jag tycker man kan kalla sömninga – de bryr sig inte så mycket om politiken mellan valen men tar sig till urnan på valdagen. Storleken på den sista gruppen torde vara ganska konstant över tiden. När det gäller grupp 1 och 2 så drabbas olika partier olika mycket vid skilda tidpunkter och jag skulle gissa att framförallt i grupp 1 finns det många potentiella parti/blockbytare. Under 2005-2006 kom många av de soffliggande väljarna från socialdemokraterna (och en del av dom manifesterade sitt missnöje genom blockbyten/soffliggande på valdagen). Den här mandatperioden är det framförallt de borgerliga partierna som överbefolkar soffan.
GillaGilla