En av de mest vibrerande diskurserna inom internationell valforskning handlar om huruvida det är möjligt att isolera effekter av partiernas ledare i förklaringar av partival och valutgångar. Finns det några partiledareffekter? Bloggläsare: Gör er beredda på ett långt inlägg. Om det kan vara en tröst bjuder jag på några helt unika förstahandsanalyser av effekter av partiledarskiften i Sverige under senaste halvseklet.
Finns det partiledareffekter?
Som vanligt är svaret att det beror på. Alltsomoftast går studierna ut på att försöka uppskatta de kortsiktiga effekterna av partiledarpopularitet eller partiledaregenskaper på väljares partival alldeles i slutskedet av valrörelserna då många väljare numera tenderar att fatta sitt slutgiltiga röstningsbeslut. Det finns absolut sammanhang där ledare kan spela roll på kort sikt för sina partier. Men de färggranna exemplen drunknar ofta i den grå massan av fall då partiledare spelade en underordnad roll. Därför behövs systematisk forskning!
Det finns självklart ett starkt samband mellan positiva värderingar av ett partis ledare och benägenheten att rösta på partiet. Men vad som komplicerar saken är att forskarna ofta vill försöka skilja ut effekter av budbäraren (partiledaren) från effekter av budskapet (partiideologi), och gärna även under kontroll för väljarnas grundinställning till partiet som sådant. Det visar sig vara ett inte alldeles enkelt problem att lösa, varken teoretiskt eller metodologiskt. Teoretiskt handlar det om en klassisk svårighet att skilja idébäraren från idéerna. Metodologiskt och mätmässigt är det största bekymret att det naturligt nog finns en mycket stark korrelation mellan sympatier för partier och sympatier för ledare och dessutom oftast en stark åsiktsröstning: benägenheten att rösta på ett parti är större ju närmare väljaren står partiet sakpolitiskt och ju mer omtyckt partiet och partiledaren är. Att en del väljare har så stark partianhängarskap att de skulle stödja sitt parti även om partiledaren var en häst gör det inte lättare att isolera effekterna.
I länderjämförande studier när vi försökt urskilja ledarens kortsiktiga betydelse för väljares partival blir svaret att vi knappt hittar några effekter alls i mer ideologifängda flerpartisystem som till exempel i Sverige, Norge och Spanien, lite halvsvaga effekter i länder som Tyskland och Storbritannien, och relativt starka effekter i kandidatcentrerade system som t ex USA.
På systemnivå i Sverige blir därför den kanske överraskande slutsatsen att partiernas ledare sällan har någon signifikant betydelse om vi tar hänsyn till ideologi och partiers allmänna grad av omtyckthet. Panelanalyser i Sverige där samma personer intervjuas vid flera tillfällen kan också i viss mån bidra till reda ut kausalitetsproblematiken: det tycks vara värderingar av partier som färgar av sig på värderingar av partiledare snarare än tvärtom, även om resultaten ibland är mixade. I partisystem och i politiska kulturer där partiers konkurrens kretsar kring sakpolitik och ideologi och där väljarna i första hand väljer partier och inte kandidater, där tenderar partiledarnas kortsiktiga betydelse för väljarbeteendet vara liten. Och alltså klart mindre än vad den så kallade ”konventionella visdomen” brukar göra gällande.
Långsamt större partiledareffekter i Sverige?
Dock. Vi har i valundersökningar under 2000-talet sett en tendens, om än mycket svag, att partiledarna har växande betydelse, men vi börjar som sagt från en utomordentligt svag nivå, i stort sett noll. Går vi in i detaljer — och det har vi förstås gjort i samtliga av de väljarböcker som skrivits inom ramen för Valforskningsprogrammet efter varje riksdagsval sedan 1976 — kan vi förstås hitta enskilda valrörelser där partiers ledare haft en positiv eller negativ effekt på möjligheterna att attrahera röster till partiet; namn och valtillfällen som t ex Gudrun Schyman 1998, Alf Svensson 1998, Bengt Westerberg 1985, Fredrik Reinfeldt 2006 (flöten) och Göran Persson 2006 (sänken).
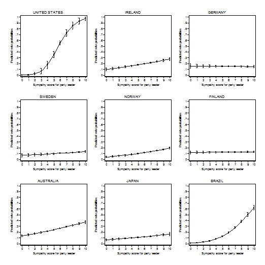
Ändå visar en uppdatering av de analyser som jag och Sören Holmberg genomförde i Oxford-antologin ”Leaders and Democratic Elections” för nästan femton år sedan att lite verkar ha hänt om man jämför Sverige med andra länder. Partiledareffekter i trettiosex (!) länder visar att länder som till exempel Sverige, Tyskland och Finland inte har några signifikanta effekter av ledarpopularitet, att det är halvstarka samband i länder som Irland, Australien, Japan och numera också Norge, och att det är som vanligt vrålstarka samband i helt kandidatcentrerade system som det amerikanske. Jag får inte plats med alla 36 grafer här nu men här nedan syns direkteffekterna av partiledarpopularitet på röstningssannolikhet under kontroll för partisympati och ideologisk närhet för nio av länderna.
Källa: The Comparative Study of Electoral Systems (CSES) http://www.cses.org
Så forskningen om partiledareffekter handlar mer om att försöka identifiera omständigheter då partiledare kortsiktigt är flöten eller sänken för sina partier. Tillgång eller belastning beror alltså på.
Partiledarskiften i Sverige 1967-
Nära valen finns alltså liten påverkan av ledare i Sverige. Man kan hävda att partiledareffekten vid det laget redan har hunnit absorberas i människors bild av partiet och dess politiska budskap. Totaleffekten av partiledares insatser kan alltså vara stor. Men anske är det inte att förvänta några stora effekter på så kort sikt som det här handlar om.
Men vad händer om vi byter perspektiv och studerar de mer långsiktiga effekterna av partiledare? Framgångar byggs på lång sikt och partiledarskiften markerar ofta förändringar i partiets ideologiska färdriktning och interna organisation där partiledaren rimligen har ett stort inflytande under längre tid. För att uttala sig om partiledares verkliga påverkan på väljarstöd räcker det inte att titta närsynt i samband med eller strax före ett val.
Med hjälp av Sifos månatliga mätningar av väljarnas intentioner om det vore riksdagsval idag — de klassiska väljarbarometrarna 1967-2017 — kan vi börja undersöka hur inte mindre än 29 partiledarskiften påverkat partiernas öden och äventyr på folkopinionens hav under de senaste fyrtio åren. Det visar sig inte överraskande att det finns en mycket stor variation i dessa partiledarskifteseffekters storlek, riktning och tajming. Miljöpartiets byten av språkrör är inte med i analysen. Men låt oss börja med parti-för-parti. Det blir ganska kul.
Politisk samtidshistoria i sju grafer
För att kunna visa opinionsförändringen för varje parti och ledare behöver man känna till år och månad för partiledarskiftet. I de här analyserna har jag valt att gå på de formella partiledarskiftena, det vill säga den månad då ordförandeklubban formellt byter från en partiordförande till en annan. I många fall har partiledaravgångar annonserats tidigt och kronprinsar och kronprinsessor har ibland varit utsedda långt före de formella partiledarskiftena. Just nu finner jag ingen råd hur man ska kunna hantera det, dock.
Hursomhelst. Partiledarskiftets första månad sätts till 0 och partiets opinionsstöd vid den tidpunkten noteras. Efterföljande månader relateras opinionsstödet till det stöd partiet hade då innevarande partiledare tillträdde. Trendlinjerna i figurerna nedan har jag jämnat ut med hjälp av en smoothing-funktion (lpoly) för att det inte ska bli för plottriga figurer.
Låt oss börja med att titta på Centerpartiets graf nedan. De olika tidsserierna visar utvecklingen av partiets opinionsstöd varje månad av respektive ledares tid som partiordförande. Om kurvan rör sig nedanför nollpunkten når partiet ett lägre stöd än vad man hade då partiledaren tillträdde. Om kurvan rör sig upp ovanför nollpunkten har partiet ett högre stöd än vid partiledarskiftet. Trajektorierna för de olika centerledarna genom tiderna är mycket olika. Torbjörn Fälldin började bra de första 60 månaderna men föll sedan tillbaka under de resterande 100 månaderna. Annie Lööfs första 60 månader som partiledare har spenderats på minussidan men har sedan ökat. För att ta två exempel.
Kristdemokraternas graf sträcker sig hela 367 månader på x-axeln. Det beror på att Alf Svensson var partiledare i så många månader, med decennier av harvande kring partiets ingångsvärde kring 1 procent i Sifos mätserier. Uppgången mot slutet representerar KDs väg in i riksdagen och även den kortare perioden kring 12 procent i samband med valet 1998.
Folkpartiet har haft nio partiledarskiften under perioden. Bengt Westerberg i gult sticker ut som ett exempel på ett parti som vuxit mycket på kort tid under en ledare. Märk dock att den så kallade Westerbergeffekten lät dröja på sig nästan 20 månader. Först i samband med 1985 års val kunde Folkpartiet öka sitt opinions stöd under Westerbergs ledning. Även Lars Leijonborg var en late bloomer. Det hände ingenting med Folkpartiets opinionsstöd på 60 månader innan plötsligt Leijonborg var Leijonkungen vid 2002 års val.
Bland Moderaternas ledare är det bara skiftet från Bo Lundgren till Fredrik Reinfeldt som kan sägas ha givit en hyfsat snabb skjuts uppåt i opinionen. På ungefär 24 månader lyckades Reinfeldt lyfta sitt Moderaterna med 10 procentenheter. Gösta Bohman sticker ut som en framgångsledare i historiens ljus med en nästan obruten uppgång. Efter 130 månader lämnade han ett parti som var omkring 15 procentenheter starkare än när han tillträdde.
För Socialdemokraternas vidkommande är det det tidigaste och de två senaste partiledarskiftena som märker ut sig när det förändringarnas riktning och magnitud. När Olof Palme tog över efter Tage Erlander började en relativt snabb opinionsnedgång från en visserligen astronomiskt hög nivå. Håkan Juholts första månader som partiledare var en fyraprocentig uppgång. Det började alltså bra men vände snart nedåt. Stefan Löfven är — faktiskt — det partiledarskifte som orsakat den största och snabbaste opinionsuppgången av alla ledarskiften strax följt av skiftet Hedlund-Fälldin. I Löfvens fall är uppgången kring 7 procentenheter på tre-fyra månader. I Fälldins fall handlar det om sex procentenheter på åtta månader. DET hade jag själv ingen koll på när jag började greja med detta.
Av partiledarskiftena inom Vänsterpartiet finns inga snabba effekter att tala om — det verkar vara högst undantagsfall som det blir dramatiska effekter av partiledarskiften — men Gudrun Schymans trajektorie som ledare för V sticker förstås ut i grafen nedan. Lars Werners långa tid som partiledare för Vänsterpartiet är ett illustrativt exempel på hur stabila ett partis opinionssiffror kan vara.
Slutligen Sverigedemokraternas graf. Eftersom Sifo inte började särredovisa Sverigedemokraterna förrän i september 2006 har vi inte något egentligt partiledarskifte att studera i det här fallet. Men Sverigedemokraternas opinionsförändring under Jimmie Åkesson (referenspunkten är här satt till 3 procent) är ju väl känd. Sisådär 150 månader in på Åkessons partiledarbana ligger hans parti klart på plus, som alla känner till.
Det kan gå hur som helst för partier som byter ledare
Den svenska samtidshistorien erbjuder få möjligheter att generalisera kring partiledarskiften och deras betydelse. Det syns särskilt tydligt om man klättrar upp för abstraktionsstegen och gör en graf på hela datamaterialet. I grafen nedan visar varje punkt ett relativt opinionsstöd för en svensk partiledares parti för varje månad av respektive ledares ämbetsperiod. De blå punkterna markerar de månader under perioden då det har anordnats val.
Vi sluter oss till att varje ledarskifte tycks vara helt unikt åtminstone sett till hur opinionsutvecklingen efter ett partiledarbyte utvecklar sig. Vän av ordning undrar förstås om det kan finnas skäl att också titta på utvecklingen INNAN partiledarskiften. Det finns det. Låt oss tänka att detta är en första närkamp med empiri: datasetet har ju knappt kallnat! För att bringa ännu större reda på de omständigheter under vilken ledarskiften kan betyda förändringar på lång, medellång eller lång sikt så behöver vi förmodligen samla in data från betydligt fler fall (29 fall är bra men kanske inte tillräckligt om vi vill bli klokare på t ex skillnaden mellan manliga och kvinnliga ledare eller ledarskiften som äger rum efter valförluster eller ledarskiften hos regeringspartier eller ledarskiften som inträffar nära val).
Och: Glöm inte att effekter av ledarskiften också behöver skattas utanför väljararenan. En partiledares gärning kan inte reduceras till fram- eller motgångar på väljarmarknaden enbart. Oavsett opinionsutveckling kan ledare sätta tydliga spår i partiets sätt att hålla samman, organisera sig, lösa problem, förankra och utveckla politik, sätta en kultur. Framgång kan vara oförtjänt och bero på andra saker. Att leda i motvind kräver kanske mer av en ledare. Det är tuffare när det regnar småspik än när det är vackert väder. De kontrafaktiska scenarierna bör alltid finnas med i tänkandet: Partier i medgångkan ställa frågan om det inte hade kunnat gå ännu bättre med en annan ledare och, tvärtom, partier i motgång kanske kan skatta sig lyckliga att de hade en så bra ledare som de hade och som kunde begränsa de förluster som annars kunnat inträffa.
Läs mer
Oscarsson, Henrik & Sören Holmberg (2013). Leader effects on the Vote. I Aarts, Cees, André Blais & Hermann Schmitt, Red. (2013). Leaders and Democratic Elections. Oxford, Oxford University Press.
Boije, Edvin & Per Oleskog Tryggvason (2015). Partiledareffekter i 2014 års riksdagsval. I Bergström, Annika, Bengt Johansson, Henrik Oscarsson & Maria Oskarson, Red. (2015). Fragment. Göteborgs universitet, SOM-institutet.











Hej, Jag saknar Mona Sahlins blåa linje i Socialdemokraternas graf. Hälsning,Zinaida
GillaGilla
Ja, det var flera som såg att hon hade fallit bort. Nu är det fixat!
GillaGilla
En mycket intressant sammanställning. Har dock inte närläst så jag kan ha missat något. Hur ser ditt argument ut för att inte ta med Miljöpartiets språkrör i den?
GillaGilla
Kan man göra. Lite trassligt bara, men man löser nog det. Man får ta dem i par i så fall. Ungefär så här:Miljöpartiet*Pohanka-Gahrton 198410 — 198510*Pohanka-Schlaug 198511 — 198610*Goes-Schlaug 198611—198809*Fiona Björling-Anders Nordin 198810–199009*Gisselberg—Axelsson 199010-19920909.*Schlaug-SAmuelsson 199210—199909*Schlaug-Nilsson-Hedström 199910–200009*Hammarström—Hedström 200010—200204*Wetterstrand—Eriksson 200205–201104*Romson-Fridolin 201105–201604*Lövin-Fridolin 201605–
GillaGilla
Jag fattar! Funderade på om det kunde ha att göra med partiets val att inte utse partiledare att göra. Men det var alltså inte det.
GillaGilla
En kommentar litet på marginalen i diskussionen om ledande företrädares personliga betydelse för valframgångar. I samband med att väljare fick möjlighet att kryssa företrädare på valsedlar fick vi ju också ett intressant verktyg för att mäta enskilda politikers påverkan på valresultat lokalt. Utgångspunkten är att det relativa antalet kryss för en ledande politisk företrädare i förhållande till antalet inlämnade valsedlar är ett mått på politikerns popularitet bland partiets väljare. Då kan man ju i princip jämföra det med den lokala framgången för partiet, mätt som partiets andel i valet till fullmäktige i kommunen i relation till partiets andel i riksdagsvalet i samma kommun. Att sambandet existerar är känt anekdotiskt som \”borgmästarval\” (SCB) med Stig Henriksson (V) i Fagersta och Bengt Germundsson (KD) i Markaryd som två omtalade exempel. Men det går förstås att undersöka mer systematiskt. Jag tittade på det en smula amatörmässigt för några år sedan och fann en korrelation, typ hög kryssandel för ledare X i kommun Y ger utväxling i högre lokalt valresultat för parti Z. Men det krävdes att man skulle upp på en rätt rejäl nivå i kryssandel (typ 25-30%) för att det skulle ge utdelning i valresultat. Det var också tydligare effekter i små kommuner (inte så oväntat). Det skulle dock krävas en mycket mer vetenskaplig ansats för att kunna rensa för andra faktorer. Men det kanske numera är gjort av professionella statsvetare, nu när det finns väsentligt mycket mer data än 2006 när jag räknade?
GillaGilla